Ответы
Ответ дал:
0
Решение и ответы в прикрепленном фото.Если что непонятно-обращайся)
Приложения:
Ответ дал:
0
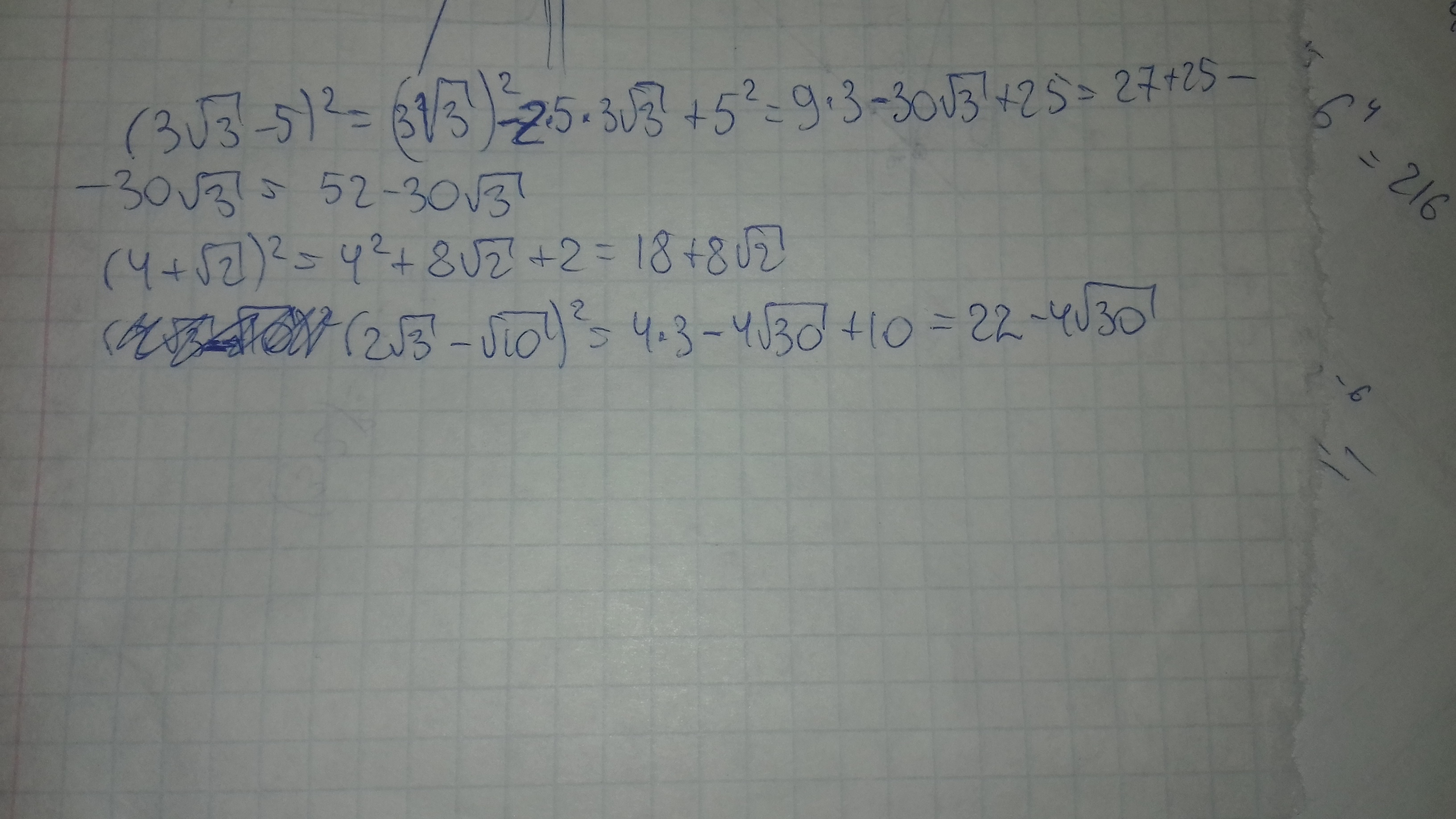
9*3+25-30√3=52-30√3
4²+2+8√2=18+8√2
4*3+10-4√30=22-4√30
4²+2+8√2=18+8√2
4*3+10-4√30=22-4√30
Приложения:
Вас заинтересует
2 года назад
2 года назад
3 года назад
3 года назад
9 лет назад
9 лет назад
10 лет назад