• Предмет: Математика
  • Автор: Anya141099
  • Вопрос задан 9 лет назад

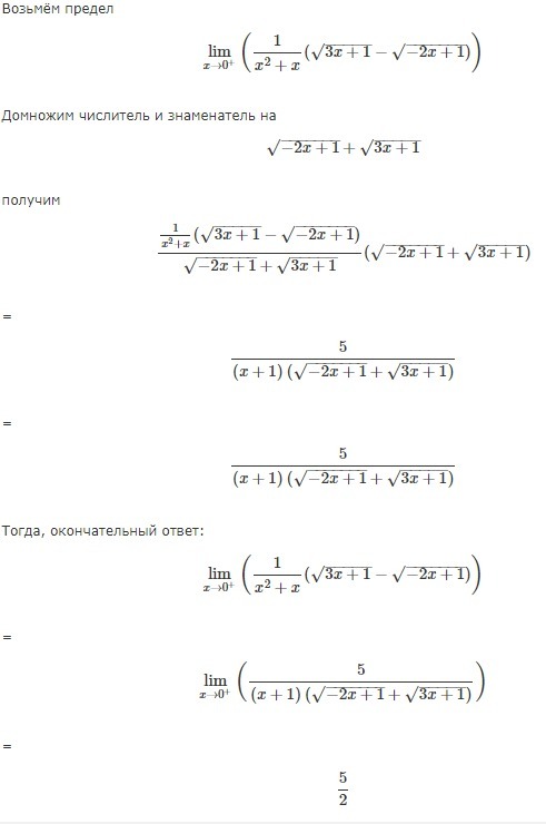
Помогите найти предел функции (во вложении)

Приложения:

Ответы

Ответ дал: Simba2017
0
.....................................
Приложения:
Вас заинтересует