Ответы
Ответ дал:
0
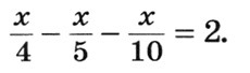
1) х/4-х/5
х/4 умножаем на 5, а х/5 умножаем на 4
получаем:
(5х-4х)/20=х/20
2) х/20-х/10
х/10 умножаем на 2
получаем:
(х-2х)/20= -х/20
х/4 умножаем на 5, а х/5 умножаем на 4
получаем:
(5х-4х)/20=х/20
2) х/20-х/10
х/10 умножаем на 2
получаем:
(х-2х)/20= -х/20
Ответ дал:
0
-х/20=2
Ответ дал:
0
х=-40
Вас заинтересует
2 года назад
3 года назад
3 года назад
9 лет назад
10 лет назад
10 лет назад