• Предмет: Геометрия
  • Автор: klimenkol21
  • Вопрос задан 9 лет назад

ПОМОГИТЕ С ГЕОМЕТРИЕЙ!
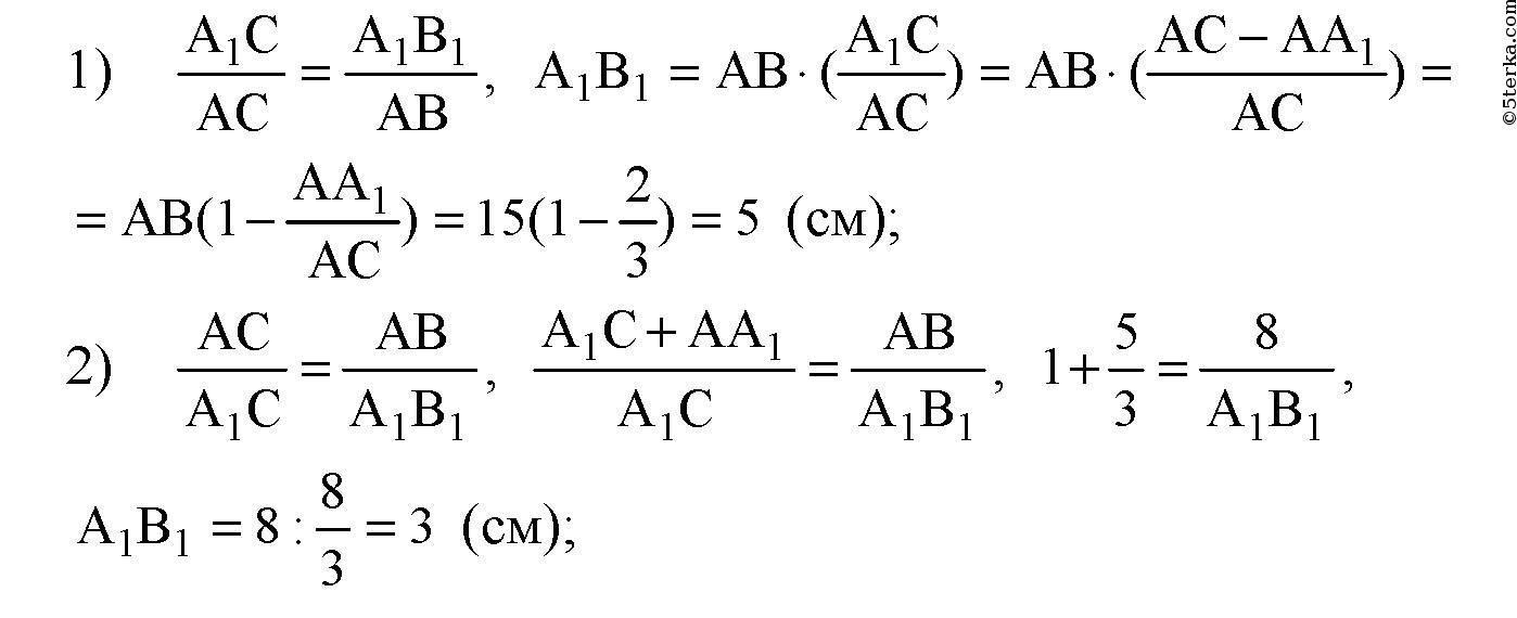
Дан треугольник АВС. Плоскость, параллельная прямой АВ, пересекает сторону АС треугольника в точке А₁ , а сторону ВС в точке В₁. Найти длину отрезка А₁В₁, если АВ=8см, АА₁ : АС=5 : 3.

Ответы

Ответ дал: System14
0
Второе задание на картинке
Приложения:
Вас заинтересует