• Предмет: Математика
  • Автор: vihrovanastya
  • Вопрос задан 9 лет назад

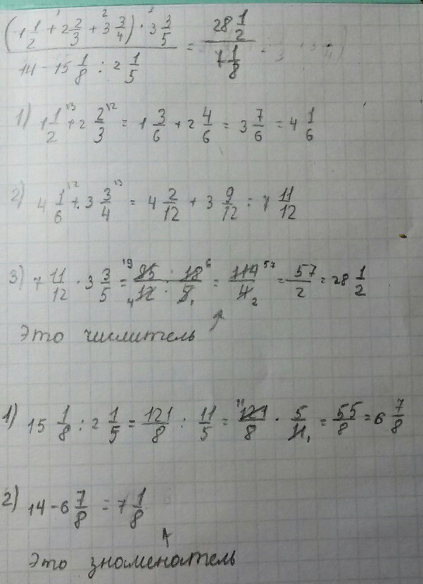
(1 1/2+ 2 2/3 + 3 3/4) * 3 3/5
———————————————
14 - 15 1/8 : 2 1/5
Решите дробь

Ответы

Ответ дал: сабинка46
0
Вот все
только помоги мне зайди на мою страничку
Приложения:
Вас заинтересует