На смесь магния и алюминия подействовали соляной кислотой. При этом выделилось 67,2 л водорода. При действии на такую же смесь такой же массы раствора гидроксида натрия выделяется 33,6 л водорода. Определите состав смеси металлов в % (по массе). Помогите пж!!!!
Ответы
Ответ дал:
0
смотри вложенный файл
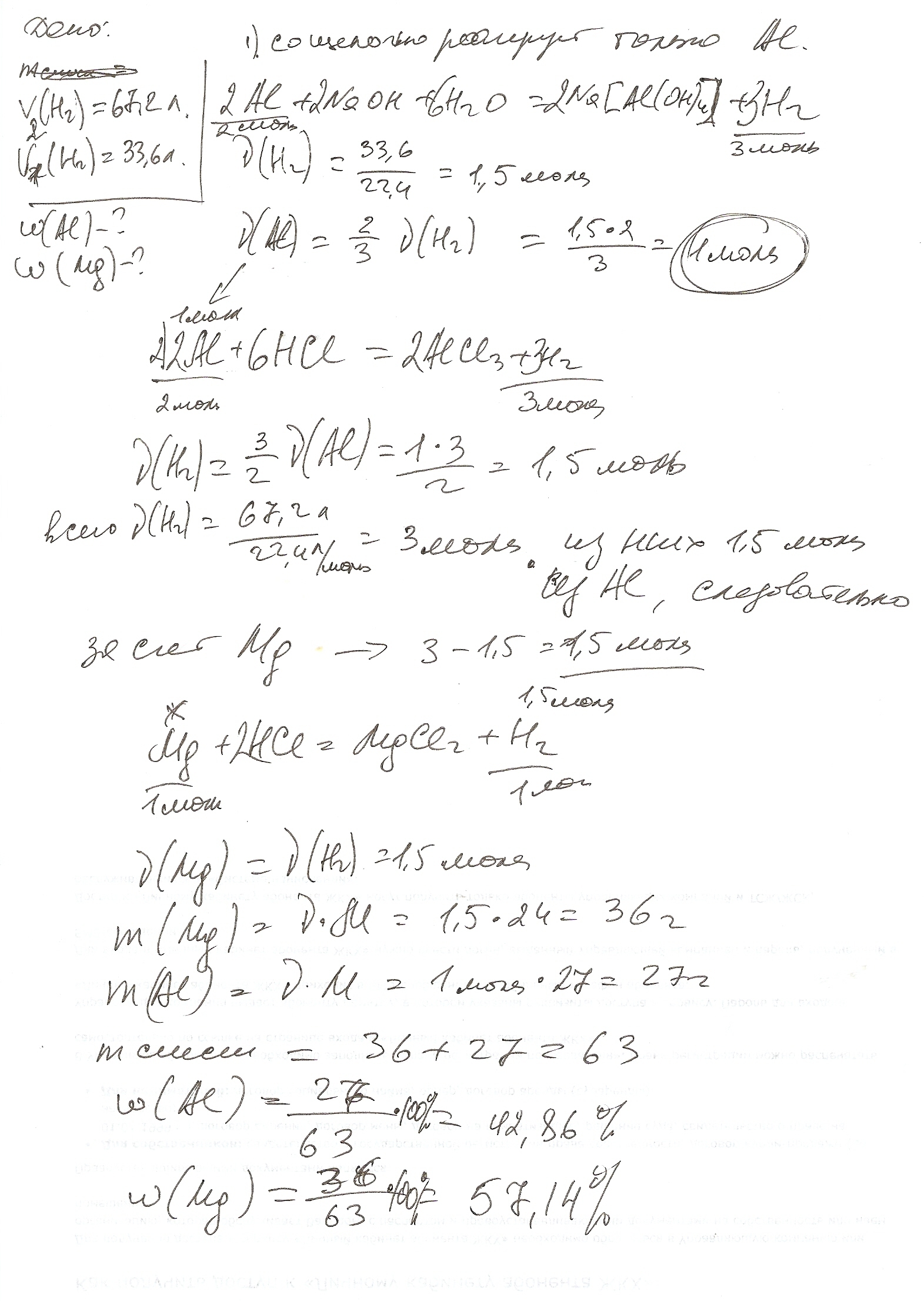
w(Al) = 42,86%
w(Mg) = 57.14%
w(Al) = 42,86%
w(Mg) = 57.14%
Приложения:
Вас заинтересует
2 года назад
3 года назад
9 лет назад
9 лет назад
10 лет назад