Ответы
Ответ дал:
0
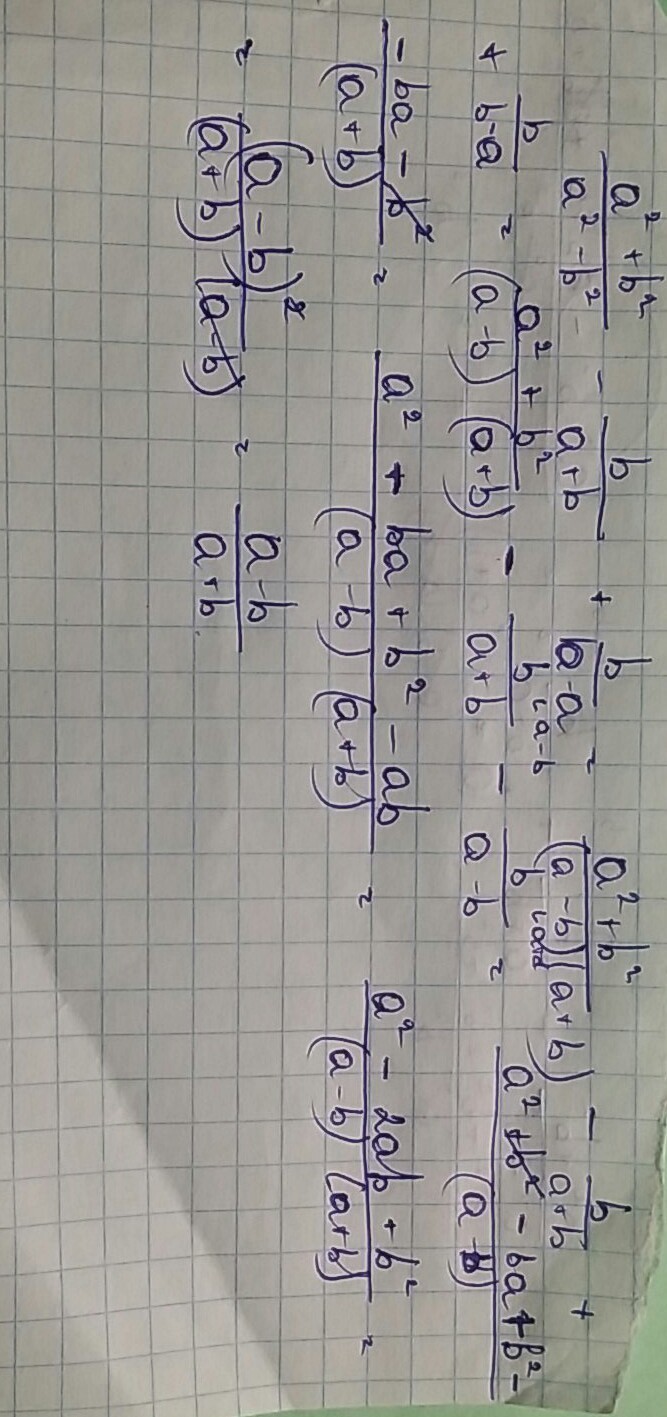
то что зачеркнуто это сокращение
Приложения:

Ответ дал:
0
Спасибо!!!))
Вас заинтересует
2 года назад
2 года назад
3 года назад
9 лет назад
9 лет назад
10 лет назад
10 лет назад