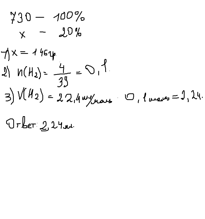
рассчитайте объем водорода,образующегося при взаимодействии 730 г 20%-го раствора соляной кислоты с необходимым количеством цинка .Каково это количество?
Ответы
Ответ дал:
0
Вот решение почерк корявый но это правильно учусь в химико-биологичкском классе))))
Приложения:

Ответ дал:
0
спасибо
Ответ дал:
0
на здоровье)))
Вас заинтересует
2 года назад
8 лет назад
8 лет назад
10 лет назад
10 лет назад
10 лет назад