Ответы
Ответ дал:
0
Пожалуйста. Если ещё надо
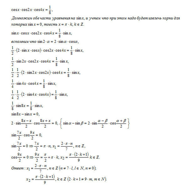
Приложения:

Вас заинтересует
3 года назад
3 года назад
9 лет назад
10 лет назад
10 лет назад