• Предмет: Математика
  • Автор: 123attackz
  • Вопрос задан 9 лет назад

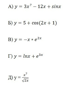
Вычислите производную функций

Приложения:

Ответа на этот вопрос пока нет. Попробуйте найти его через форму поиска.

Вас заинтересует