• Предмет: Алгебра
  • Автор: UJYLJY123321
  • Вопрос задан 9 лет назад

помогите решить
номер 2,под буквой б

Приложения:

Ответы

Ответ дал: bibizuroshka
0
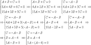
попробуй решить по системе
Приложения:
Ответ дал: UJYLJY123321
0
можно подробнее
Ответ дал: UJYLJY123321
0
я вообще не понимаю как это решать
Ответ дал: bibizuroshka
0
подставляй
Ответ дал: bibizuroshka
0
вместо а и в
Вас заинтересует