• Предмет: Алгебра
  • Автор: 1Афина1
  • Вопрос задан 9 лет назад

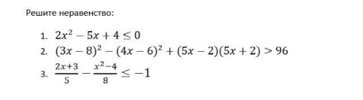
алгебра на картинке, 50 баллов

Приложения:

Ответа на этот вопрос пока нет. Попробуйте найти его через форму поиска.

Вас заинтересует