Ответы
Ответ дал:
0
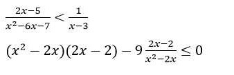
x²-6x-7≠0
Д=36+28=64=8²
х1≠(6+8)/2=7
Х2≠(6-8)/2=-1
x²-6x-7=(х-7)(х+1)
и
х-3≠0
х≠3
(2x-5) / (x-7)(х+1) - 1/(х-3)<0
( (2x-5)(x-3)-(x²-6x-7) ) /(х-7)(х+1)(x-3) <0
(2x²-5x-6x+15-x²+6x+7 ) / (х-7)(х+1)(x-3) <0
(x²-5x+22)/(х-7)(х+1)(x-3) <0
x²-5x+22=0
Д=25-88<0 действительных корней нет
x²-5x+22 /(х-7)(х+1)(x-3) <0
+ 7 -1 3
-1 3 7
--------|--------------|--------|-----------------
-------- ++++++++ ------- +++++++++
Ответ: х∈ (-∞ ; -1) ∪ (3; 7)
2) (x²-2x)(2x-2)-9 (2x-2)/ (x²-2x) ≤0
x²-2x≠0
x(x-2)≠0
x1≠0
x2≠2
x(x-2)2(x-1)-9 * 2(x-1) /x(x-2) ≤0
2x(x-2)(x-1) -9*2(x-1)/x(x-2) ≤0
2(x-1) ( (x(x-2)-9/x(x-2) )≤0
2(x-1) ( ((x²-2x)²-9 )/(x(x-2) )≤0
2(x-1) (x²-2x-3)*(x²-2x+3 )/(x(x-2) ≤0
x²-2x-3=0
Д=4+12=16=4²
х1=(2+4)/2=3
х2=(2-4)/2=-1
x²-2x+3=0
Д=4-12 < 0
функция всегда больше нуля при любом х
2(x-1) (x-3)(х+1)(x²-2x+3 )/(x(x-2) ≤0
1 3 -1 + 0 2
-1 0 1 2 3
---------|-------|-------|-------|------|--------
--------- ++++ +++ ++++ ----- ++++
x∈(-∞; -1] ∪ (2; 3]
Д=36+28=64=8²
х1≠(6+8)/2=7
Х2≠(6-8)/2=-1
x²-6x-7=(х-7)(х+1)
и
х-3≠0
х≠3
(2x-5) / (x-7)(х+1) - 1/(х-3)<0
( (2x-5)(x-3)-(x²-6x-7) ) /(х-7)(х+1)(x-3) <0
(2x²-5x-6x+15-x²+6x+7 ) / (х-7)(х+1)(x-3) <0
(x²-5x+22)/(х-7)(х+1)(x-3) <0
x²-5x+22=0
Д=25-88<0 действительных корней нет
x²-5x+22 /(х-7)(х+1)(x-3) <0
+ 7 -1 3
-1 3 7
--------|--------------|--------|-----------------
-------- ++++++++ ------- +++++++++
Ответ: х∈ (-∞ ; -1) ∪ (3; 7)
2) (x²-2x)(2x-2)-9 (2x-2)/ (x²-2x) ≤0
x²-2x≠0
x(x-2)≠0
x1≠0
x2≠2
x(x-2)2(x-1)-9 * 2(x-1) /x(x-2) ≤0
2x(x-2)(x-1) -9*2(x-1)/x(x-2) ≤0
2(x-1) ( (x(x-2)-9/x(x-2) )≤0
2(x-1) ( ((x²-2x)²-9 )/(x(x-2) )≤0
2(x-1) (x²-2x-3)*(x²-2x+3 )/(x(x-2) ≤0
x²-2x-3=0
Д=4+12=16=4²
х1=(2+4)/2=3
х2=(2-4)/2=-1
x²-2x+3=0
Д=4-12 < 0
функция всегда больше нуля при любом х
2(x-1) (x-3)(х+1)(x²-2x+3 )/(x(x-2) ≤0
1 3 -1 + 0 2
-1 0 1 2 3
---------|-------|-------|-------|------|--------
--------- ++++ +++ ++++ ----- ++++
x∈(-∞; -1] ∪ (2; 3]
Ответ дал:
0
я могу только за ПК
Ответ дал:
0
Жаль
Ответ дал:
0
Поможешь с кр?
Ответ дал:
0
Дам 50 балов как здесь
Ответ дал:
0
кидай ссылку в личку
Вас заинтересует
2 года назад
3 года назад
3 года назад
9 лет назад
9 лет назад
10 лет назад