• Предмет: Алгебра
  • Автор: ден7123422323134
  • Вопрос задан 9 лет назад

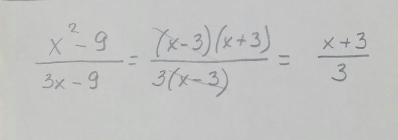
Сократительной дробь в числителе х в квадрате минус девять, в знаменателе 3х-9

Ответы

Ответ дал: гюйс
0
....................................
Приложения:
Вас заинтересует