• Предмет: Алгебра
  • Автор: egn96637
  • Вопрос задан 9 лет назад

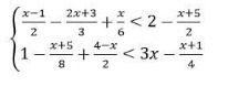
ПОМОГИТЕ решить систему неравенств. 20Б

Приложения:

Ответы

Ответ дал: ЯгодкаЯлесная
0
фоточка тебе в помощь ;)
Приложения:
Вас заинтересует