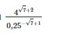
Помогите, пожалуйста, решить. Желательно с разбором и объяснениями. Заранее спасибо.
Приложения:
Ответа на этот вопрос пока нет. Попробуйте найти его через форму поиска.
Вас заинтересует
2 года назад
2 года назад
3 года назад
9 лет назад
9 лет назад
10 лет назад