• Предмет: Математика
  • Автор: bencepiercen
  • Вопрос задан 9 лет назад

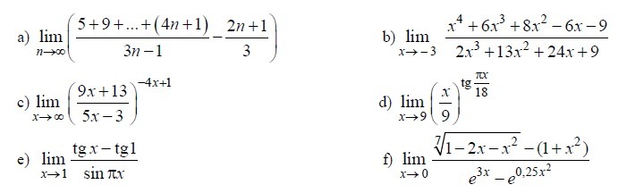
Найти пределы 70 баллов

По действиям

Приложения:

Ответы

Ответ дал: SonkaLover
0
ого, нечего себе хим, лим
Вас заинтересует