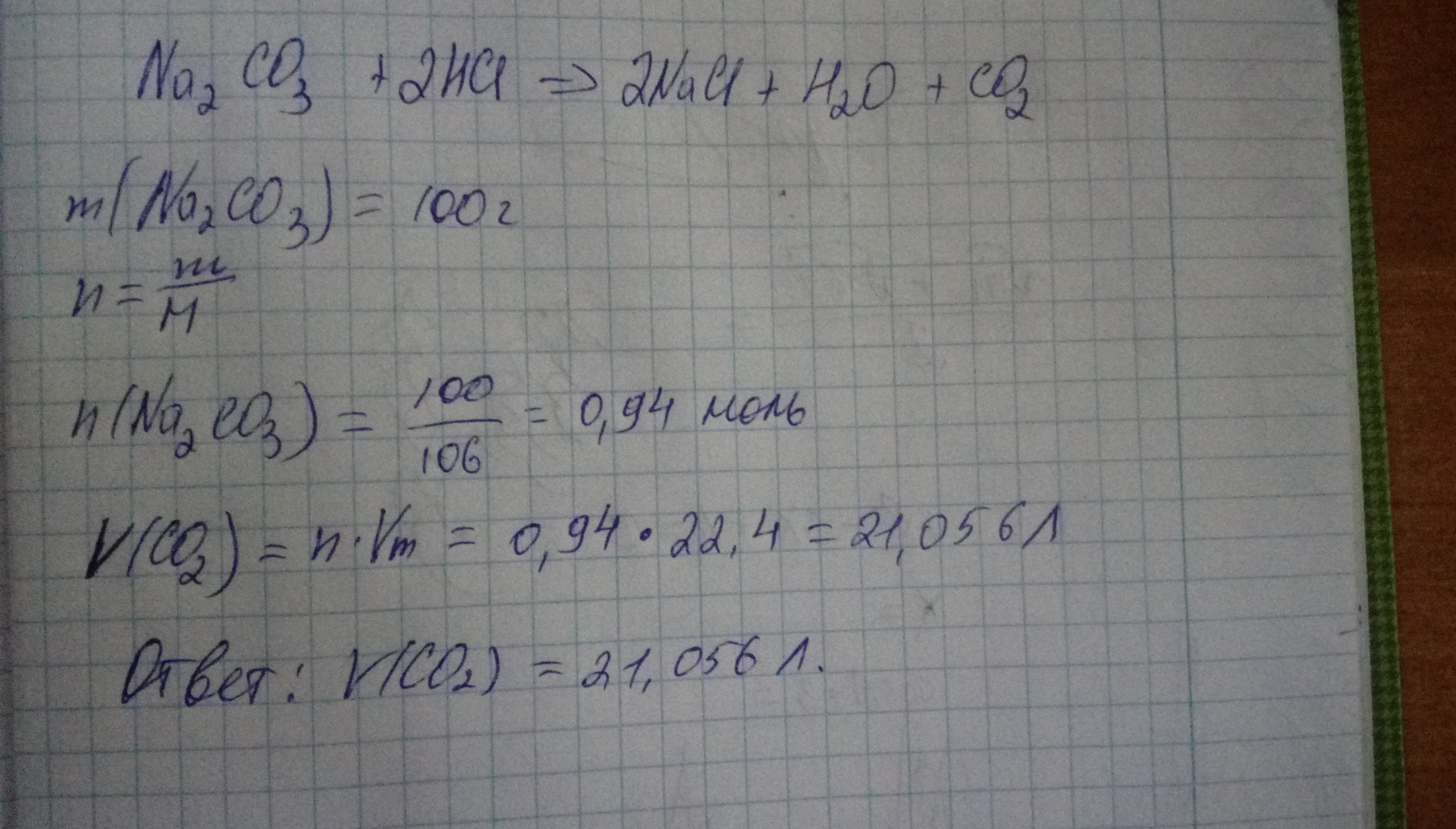
Сколько литров СО2 выделится в реакции:
Na2CO3 + 2НСl = 2NaC l+ Н2О + СО2
если взяли 100 граммов Na2CO3?
Ответы
Ответ дал:
0
решение в прикреплённой фотке
Приложения:

Вас заинтересует
2 года назад
3 года назад
3 года назад
9 лет назад
10 лет назад