• Предмет: Алгебра
  • Автор: silonte
  • Вопрос задан 9 лет назад

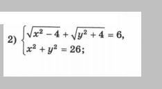
Решите систему уравнений

Приложения:

Ответы

Ответ дал: Аноним
0
I hope this helps you
Приложения:
Ответ дал: ВладимирБ
0
Решение смотри на фото
Приложения:
Вас заинтересует