Ответы
Ответ дал:
0
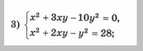
делить на y^2 первое уравнение y и x не равно 0
(x/y)^2+3(x/y)-10=0
(x/y)=t
t^2+3t-10=0
D=49
t=(-3+-7)/2=-5; 2
x/y=2
x=2y
4y^2+4y^2-y^2=28
7y^2=28
y^2=4
y1=2
x1=4
y2=-2
x2=-4
x/y=-5
x=-5y
25y^2-10y^2-y^2=28
14y^2=28
y^2=2
y3=корень из 2
x3=-5корень из 2
y4=-корень из 2
y4=5корень из 2
(x/y)^2+3(x/y)-10=0
(x/y)=t
t^2+3t-10=0
D=49
t=(-3+-7)/2=-5; 2
x/y=2
x=2y
4y^2+4y^2-y^2=28
7y^2=28
y^2=4
y1=2
x1=4
y2=-2
x2=-4
x/y=-5
x=-5y
25y^2-10y^2-y^2=28
14y^2=28
y^2=2
y3=корень из 2
x3=-5корень из 2
y4=-корень из 2
y4=5корень из 2
Вас заинтересует
3 года назад
9 лет назад
9 лет назад
10 лет назад
10 лет назад