Ответы
Ответ дал:
0
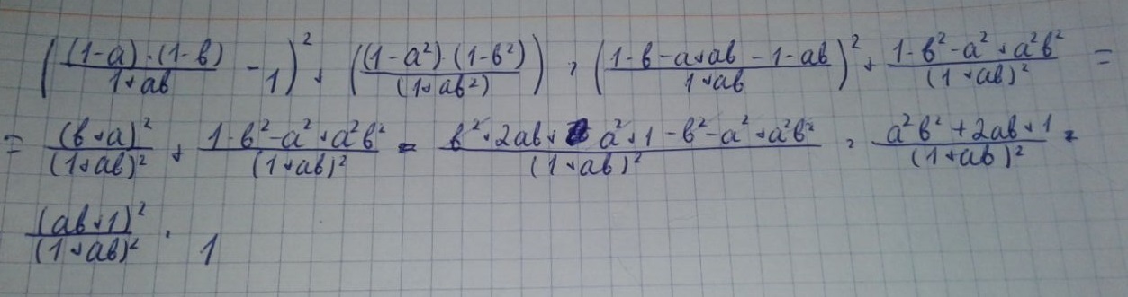
Вроде как-то так....
Приложения:

Ответ дал:
0
Спасибо, огромное!
Вас заинтересует
2 года назад
2 года назад
3 года назад
9 лет назад
10 лет назад