Ответы
Ответ дал:
0
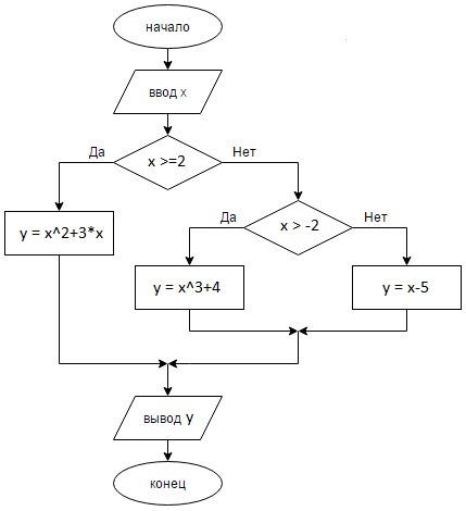
Блок-схема - в прилагаемом файле.
var x,y:integer;
begin
readln(x);
if x>=2 then y:=x*x+3*x
else if x>-2 then y:=x*x*x+4
else y:=x-5;
writeln('y = ',y);
end.
Пример:
-1
y = 3
var x,y:integer;
begin
readln(x);
if x>=2 then y:=x*x+3*x
else if x>-2 then y:=x*x*x+4
else y:=x-5;
writeln('y = ',y);
end.
Пример:
-1
y = 3
Приложения:
Вас заинтересует
2 года назад
2 года назад
3 года назад
9 лет назад
9 лет назад
10 лет назад