• Предмет: Математика
  • Автор: русскийязык150
  • Вопрос задан 9 лет назад

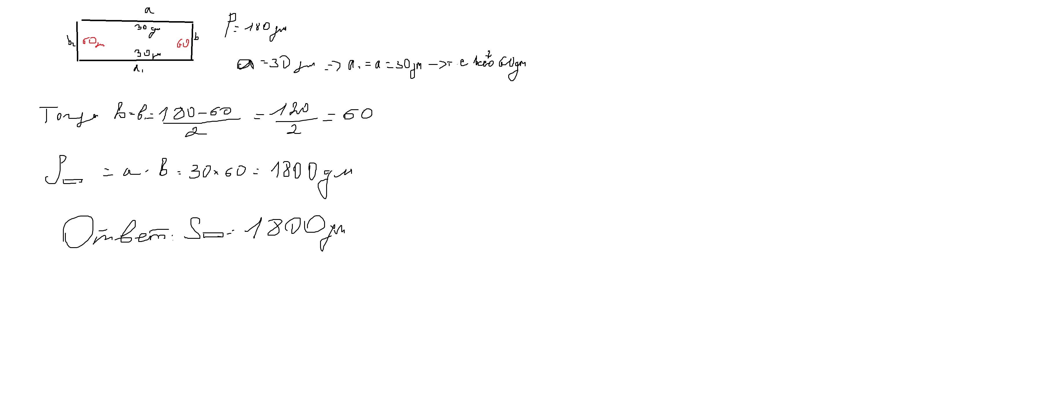
периметр стола прямоугольной формы 180 дм. ширина стола 30дм. чему равна его площадь?

Ответы

Ответ дал: Frog12321nik
0
тут с рисунком) пишу это тк надо больше символов
Приложения:
Ответ дал: Frog12321nik
0
не знаю поймете ли)
Вас заинтересует