• Предмет: Математика
  • Автор: silonte
  • Вопрос задан 9 лет назад

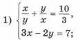
Решите систему уравнений

Приложения:

Ответы

Ответ дал: xtoto
0
 left { {{ frac{x}{y} + frac{y}{x} = frac{10}{3} } atop {3x-2y=7}} right.;
 left { {{ frac{3x^2+3y^2-10xy}{3xy} = 0} } atop {3x-2y=7}} right. ;
left { {{ 3x^2+3y^2-10xy = 0} } atop {3x+7=2y}} right. ;
left { {{ 12x^2+3*(2y)^2-20x*2y = 0} } atop {3x+7=2y}} right. ;\

left { {{ 12x^2+3(3x+7)^2-20x(3x+7) = 0} } atop {3x+7=2y}} right. ;
left { {{ 12x^2+3(9x^2+42x+49)-60x^2-140x = 0} } atop {3x+7=2y}} right. ;

left { {{ 12x^2+27x^2+126x+147-60x^2-140x = 0} } atop {3x+7=2y}} right. ;
left { {{ -21x^2-14x+147 = 0} } atop {3x+7=2y}} right. ;\

left { {{ -7(3x^2+2x-21) = 0} } atop {3x+7=2y}} right. ;
left { {{ x= frac{-2 pm16}{6} } } atop {y= frac{3x+7}{2} }} right. ;
left { {{ x= frac{-1 pm8}{3} } } atop {y= frac{3x+7}{2} }} right. ;
left { {{ x=-3 or  frac{7}{3} } atop {y= frac{3x+7}{2} }} right. ;\

left { {{ x=-3} atop {y= frac{-9+7}{2} }} right.  or left { {{ x=frac{7}{3} } atop {y= frac{7+7}{2} }} right. ;\

left { {{ x=-3} atop {y= -1}} right.  or left { {{ x=frac{7}{3} } atop {y=7 }} right..

Answer: (-3; -1), ( frac{7}{3}; 7 )
Вас заинтересует