Ответы
Ответ дал:
0
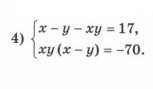
x - y = a
xy = b
{a - b = 17
{ab = -70
{a = 17 + b
{b² + 17b + 70 = 0
D = 289 - 280 = 9
b1 = (-17 - 3)/2 = -10
b2 = (-17 + 3)/2 = -7
a1 = 17 - 10 = 7
a2 = 17 - 7 = 10
Ответ: (7; -10) и (10; -7)
xy = b
{a - b = 17
{ab = -70
{a = 17 + b
{b² + 17b + 70 = 0
D = 289 - 280 = 9
b1 = (-17 - 3)/2 = -10
b2 = (-17 + 3)/2 = -7
a1 = 17 - 10 = 7
a2 = 17 - 7 = 10
Ответ: (7; -10) и (10; -7)
Вас заинтересует
2 года назад
2 года назад
3 года назад
3 года назад
9 лет назад
9 лет назад
10 лет назад