Ответы
Ответ дал:
0
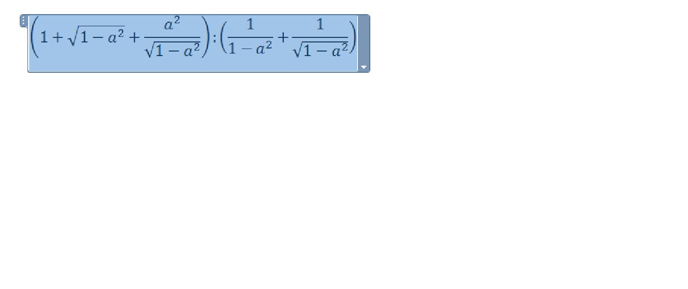
Упростим первую скобку :
...=
Упростим вторую скобку :
...=
Выполним деление :
=
...=
Упростим вторую скобку :
...=
Выполним деление :
Вас заинтересует
2 года назад
2 года назад
3 года назад
3 года назад