ПОМОГИТЕ, ПРОШУ!!!
1) 1,5*3²-2⁴
2)(x⁴)⁵* x²/x¹²
3)-4*a⁷b⁸*2a⁴b⁶
4)10xy⁵*(-0,1)x²*3x¹⁰y¹⁶
Заранее спасибо.
x²/x¹² -- это ДРОБЬ!!!
(Кому нужны степени, вот: ⁰ ¹ ² ³ ⁴ ⁵ ⁶ ⁷ ⁸)
Ответы
Ответ дал:
0
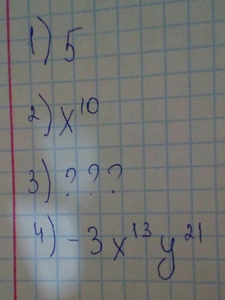
вот ответы а ответ на третий я незнаю
Приложения:

Ответ дал:
0
3) -8a¹¹b¹⁴
Вас заинтересует
2 года назад
3 года назад
3 года назад
9 лет назад
10 лет назад