Ответы
Ответ дал:
0
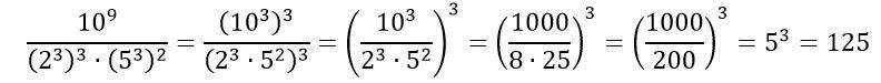
надеюсь мой почерк понятен
Приложения:

Ответ дал:
0
Спасибо
Ответ дал:
0
я пойму любой почерк
Ответ дал:
0
!!!!!!!!!!!!!!!!!!!!!!!!!!!!!!!!!!!!!!
Приложения:

Вас заинтересует
2 года назад
2 года назад
3 года назад
9 лет назад
9 лет назад
10 лет назад