• Предмет: Алгебра
  • Автор: Edinorozheck
  • Вопрос задан 9 лет назад

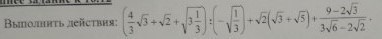
8ой класс. С полным решением. Заранее спасибо!

Приложения:

Ответа на этот вопрос пока нет. Попробуйте найти его через форму поиска.

Вас заинтересует