• Предмет: Алгебра
  • Автор: rybochka1602
  • Вопрос задан 9 лет назад

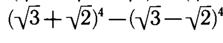
(√3+√2)⁴ ₋ (√3 -√2)⁴=

Приложения:

Ответа на этот вопрос пока нет. Попробуйте найти его через форму поиска.

Вас заинтересует