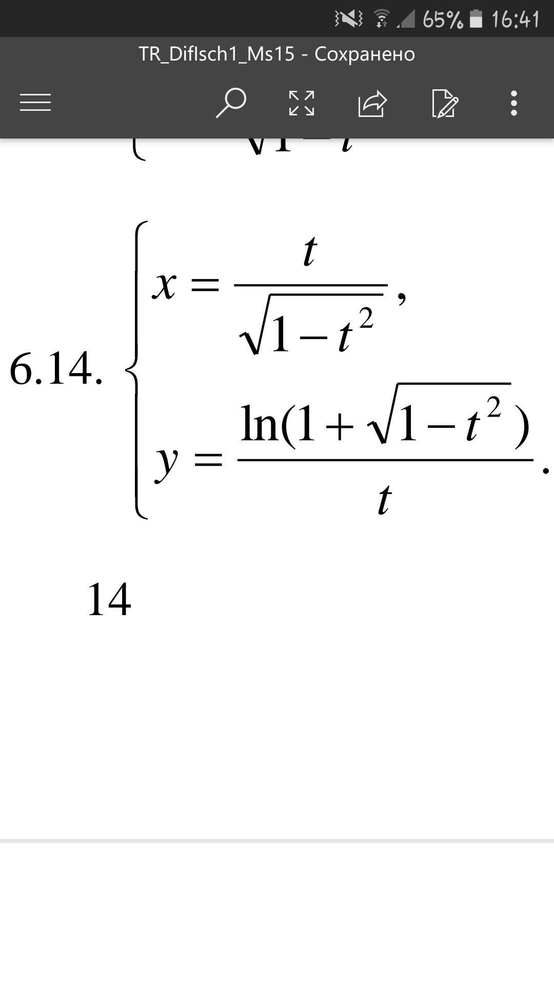
Найти производную Y'x параметрически заданной функции. Срочно, буду очень признателен)
Приложения:

Ответы
Ответ дал:
0
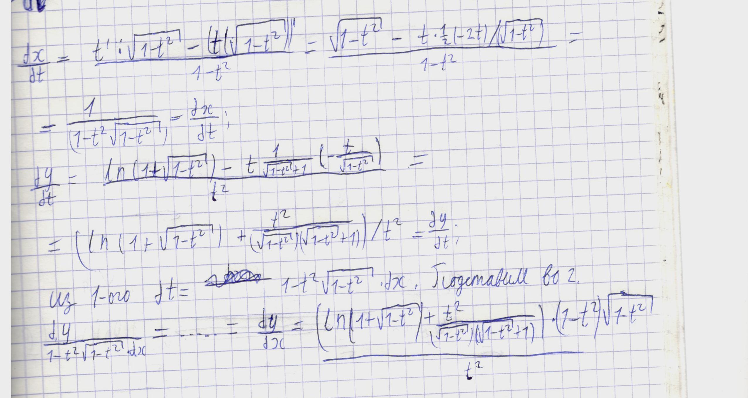
Надо найти y'=dy/dx. Вот что получилось. Ничего не упрощал, в конце думаю можно пооткрывать скобки и что-нибудь может сократится.
Приложения:

Ответ дал:
0
https://math.semestr.ru/math/parametric-function.php
Ответ дал:
0
Спасибо большое. Еще такой вопрос, Ты сможешь провести исследование двух функций? Я сейчас выложу вопрос, дам за него 50 баллов, скину тебе ссылку. У меня даже пример есть как это делать, разбираться не охото просто. ну что?
Ответ дал:
0
даже скину пример по которому делать.
Ответ дал:
0
Я в этих исследованиях сам слаб. Забыл их давно
Ответ дал:
0
Я пример скину по примеру не сможешь решить? Там все обьясняется, просто не охото в этом копаться
Вас заинтересует
2 года назад
3 года назад
3 года назад
9 лет назад
9 лет назад
10 лет назад