Ответы
Ответ дал:
0
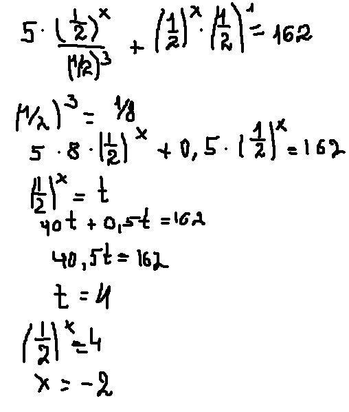
надо преобразовать выражение, сделать замену, а потом не забыть вернуться к исходной замене
Приложения:

Ответ дал:
0
и t чему там равно?
Ответ дал:
0
162, вы хотя бы вникаете в то, что пишите?
Ответ дал:
0
почерк непонятный
Ответ дал:
0
ну, решите простое уравнение и посмотрите, похоже ли это на ту цифру, которая написана мной
Ответ дал:
0
это точно правильно?
Вас заинтересует
2 года назад
3 года назад
3 года назад
9 лет назад
10 лет назад