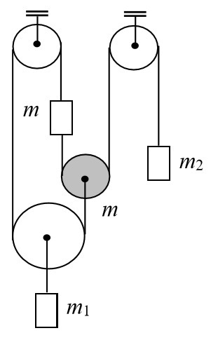
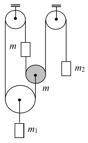
Система состоит из нескольких грузов, подвешенных на невесомых нитях, перекинутых через невесомые и один массивный (выделен серым цветом) блоки. Масса m = 1 кг. Определите, при каких значениях масс m1 и m2 система будет находиться в равновесии. Трения в осях блоков нет
Приложения:
Ответа на этот вопрос пока нет. Попробуйте найти его через форму поиска.
Вас заинтересует
2 года назад
3 года назад
3 года назад
9 лет назад
9 лет назад
10 лет назад
10 лет назад