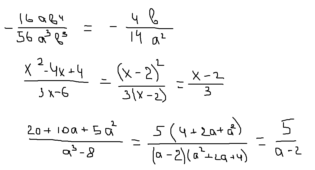
16ab ^4
___________
-56a^3b^3
x^2-4x+4
__________
3x-6
(3a-3c)^2
_________
9c^2-9a^2
20+10a+5a^2
___________
a^3-8
СОКРАТИТЕ ДРОБЬ
Ответы
Ответ дал:
0
решение на рисунке....
Приложения:

Ответ дал:
0
спасибо большое с:
Ответ дал:
0
Решение на фотографии! !!!!!!!!!!!!!!!
Приложения:

Вас заинтересует
2 года назад
2 года назад
8 лет назад
8 лет назад
10 лет назад
10 лет назад