• Предмет: Физика
  • Автор: ФиннПарнишка
  • Вопрос задан 9 лет назад

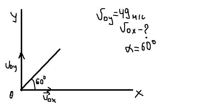
На картинке
Возможно ли это посчитать?
дайте формулу или решите

Приложения:

Ответы

Ответ дал: fatt52
0
Voy/Vox=tg60
Vox=Voy/(tg60)=49/1.73=23 м/с
===========================
Вас заинтересует