• Предмет: Математика
  • Автор: Juniper1
  • Вопрос задан 9 лет назад

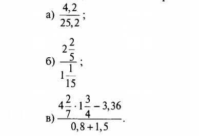
Найдите значение выражения:

Приложения:

Ответы

Ответ дал: kseniya322zee
0
а)0.7/4.2=1/6
б)2*3=6
в)4.14/2.3=1.8

Вас заинтересует