• Предмет: Алгебра
  • Автор: eFFekTFapToBbIu
  • Вопрос задан 9 лет назад

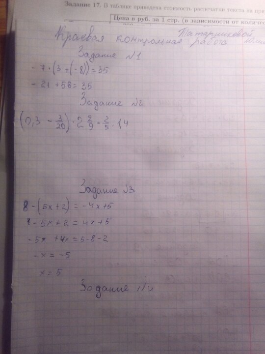
решите второй номер пж

Приложения:

Ответы

Ответ дал: Анастасия5484
0
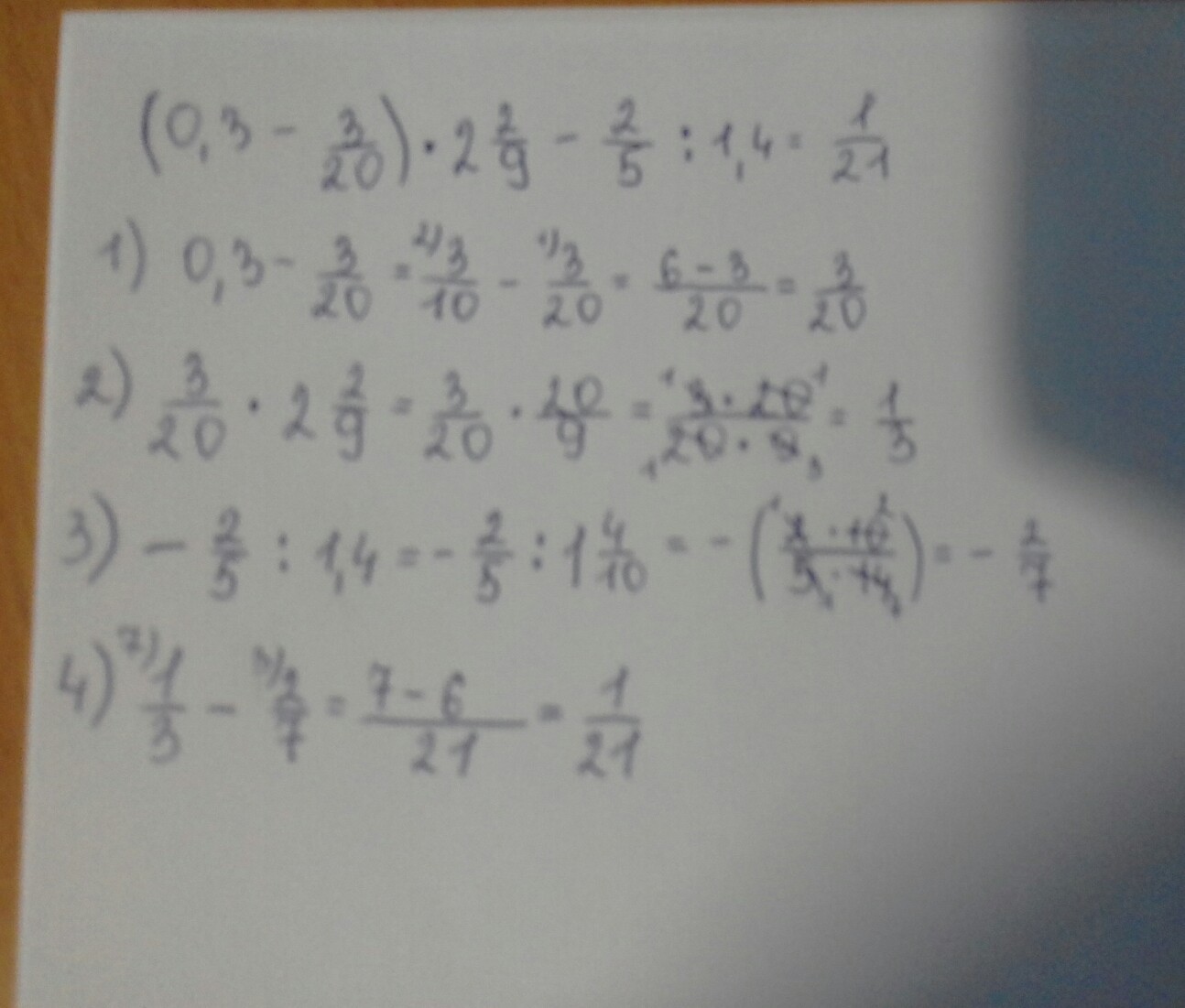
Вот решение - по действиям.
Приложения:
Ответ дал: oliushka1
0
(0,3-3/20)×2 2/9-2/5÷1,4=
3/20×2×2/9-2/5×5/7=
1/10×2/3-2×1/7=
1/5×1/3-2/7=
1/15-2/7= -23/105
Приложения:
Ответ дал: oliushka1
0
не было листочка под рукой,пришлось долго печатать
Вас заинтересует