• Предмет: Алгебра
  • Автор: naconechniyleo
  • Вопрос задан 9 лет назад

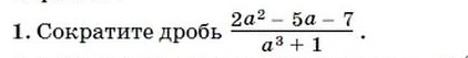
СОКРАТИТЕ ДРОБЬ СО ВСЕМИ РЕШЕНИЯМИ ПЛИЗЗЗ

Приложения:

Ответы

Ответ дал: rubilovalex
0
2a^2-5a-7=0; D=(-5)^2-4*2*(-7)=25+56=81; a1=(5-9)/4, a2=(5+9)/4. a1= -1, a2=14/4=7/2. получаем: 2a^2-5a-7=2*(a-7/2)*(a+1)=(2a-7)*(a+1). a^3+1=(a+1)*(a^2-a+1). получаем : (2a-7)*(a+1) / (a+1)*(a^2-a+1)=(2a-7) / (a^2-a+1).
Вас заинтересует