• Предмет: Алгебра
  • Автор: gxguhvd7
  • Вопрос задан 9 лет назад

упростите выражение!!! АЛГЕБРА!!!

Приложения:

Ответы

Ответ дал: Евклuд
0
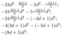
Решение в приложении.....
Приложения:
Вас заинтересует