• Предмет: Математика
  • Автор: bafusha
  • Вопрос задан 9 лет назад

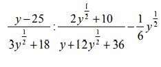
Упростить выражение. Заранее спасибо!

Приложения:

Ответы

Ответ дал: tryastsynandre
0
frac{y-25}{3 y^{ frac{1}{2} } +18} : frac{2 y^{ frac{1}{2}}+10}{y+12 y^{ frac{1}{2}}+36}- frac{1}{6} y^{ frac{1}{2} } }
 frac{( sqrt{y}-5)( sqrt{y}+5)}{3( sqrt{y}+6) } *  frac{( sqrt{y}+6)^2}{2( sqrt{y}+5) } -  frac{ sqrt{y} }{6}  frac{y+30}{6}
Вас заинтересует