• Предмет: Математика
  • Автор: Looyk
  • Вопрос задан 9 лет назад

(а+1)²(а-6)›0 решите неравенство пожалуйста:)

Ответы

Ответ дал: veronikakautova
0
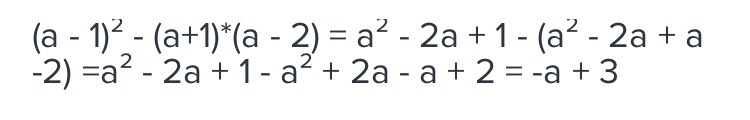
Вот дуржи ответ) удачной учебы!!!!
Приложения:
Вас заинтересует