• Предмет: Алгебра
  • Автор: kimaleksa5
  • Вопрос задан 9 лет назад

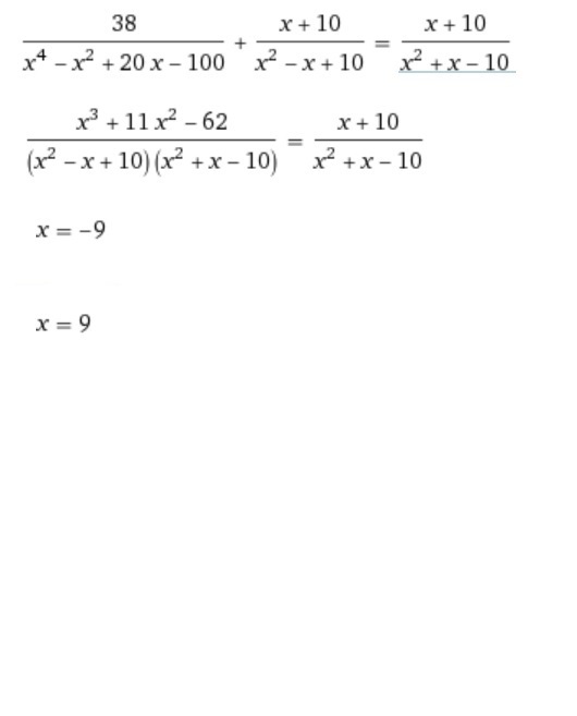
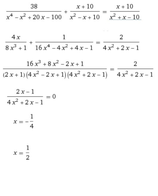
5.59 пункт в, г
даю 100 баллов

Приложения:

Ответы

Ответ дал: 1TeD
0
Нужно просто что-то написать, чтобы отправить)
Приложения:
Вас заинтересует