Ответы
Ответ дал:
0
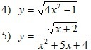
4) Имеем корень, про него точно знаем, что подкоренное выражение должно быть не отрицательно.
в выражении
имеем
. Очевидно, что равно
выражение при
и
. Разобьем как разность квадратов и решим методом интервалов
. Отсюда 
5) здесь в числителе корень и что делать уже знаем, в знаменателе квадратное уравнение и оно не должно равняться нулю, т.к. делить на нуль нельзя.
Делаем:

Я решу через т.Виетта, вы можете честно посчитать дискриминант и корни.

Итого получаем

в выражении
5) здесь в числителе корень и что делать уже знаем, в знаменателе квадратное уравнение и оно не должно равняться нулю, т.к. делить на нуль нельзя.
Делаем:
Я решу через т.Виетта, вы можете честно посчитать дискриминант и корни.
Итого получаем
Вас заинтересует
2 года назад
3 года назад
3 года назад
9 лет назад
9 лет назад
10 лет назад
10 лет назад