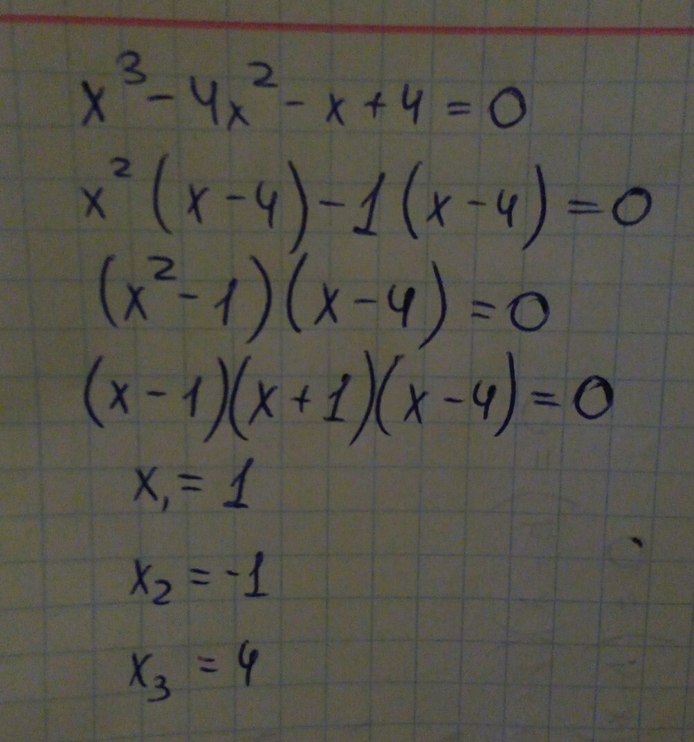
ПОМОГИТЕ, ПОЖАЛУЙСТА! Не могу решить уравнение, смотрела такой же пример в интернете, но так и не поняла, откуда взялся 1. Пожалуйста, объясните, как это решить! Спасибо огромное!!!❤️
Приложения:

Ответы
Ответ дал:
0
.........................
Приложения:

Ответ дал:
0
А почему умножить? Там же между двумя скобками знак -
Ответ дал:
0
Ааа, вроде поняла. Это разложили на две скобки, и если перемножить, то получается начальное уравнение, спасибо
Вас заинтересует
2 года назад
2 года назад
3 года назад
3 года назад
9 лет назад
10 лет назад
10 лет назад