• Предмет: Алгебра
  • Автор: бабочкирулят
  • Вопрос задан 9 лет назад

помогите с решением плиз

Приложения:

Ответы

Ответ дал: andreyvlasov22
0
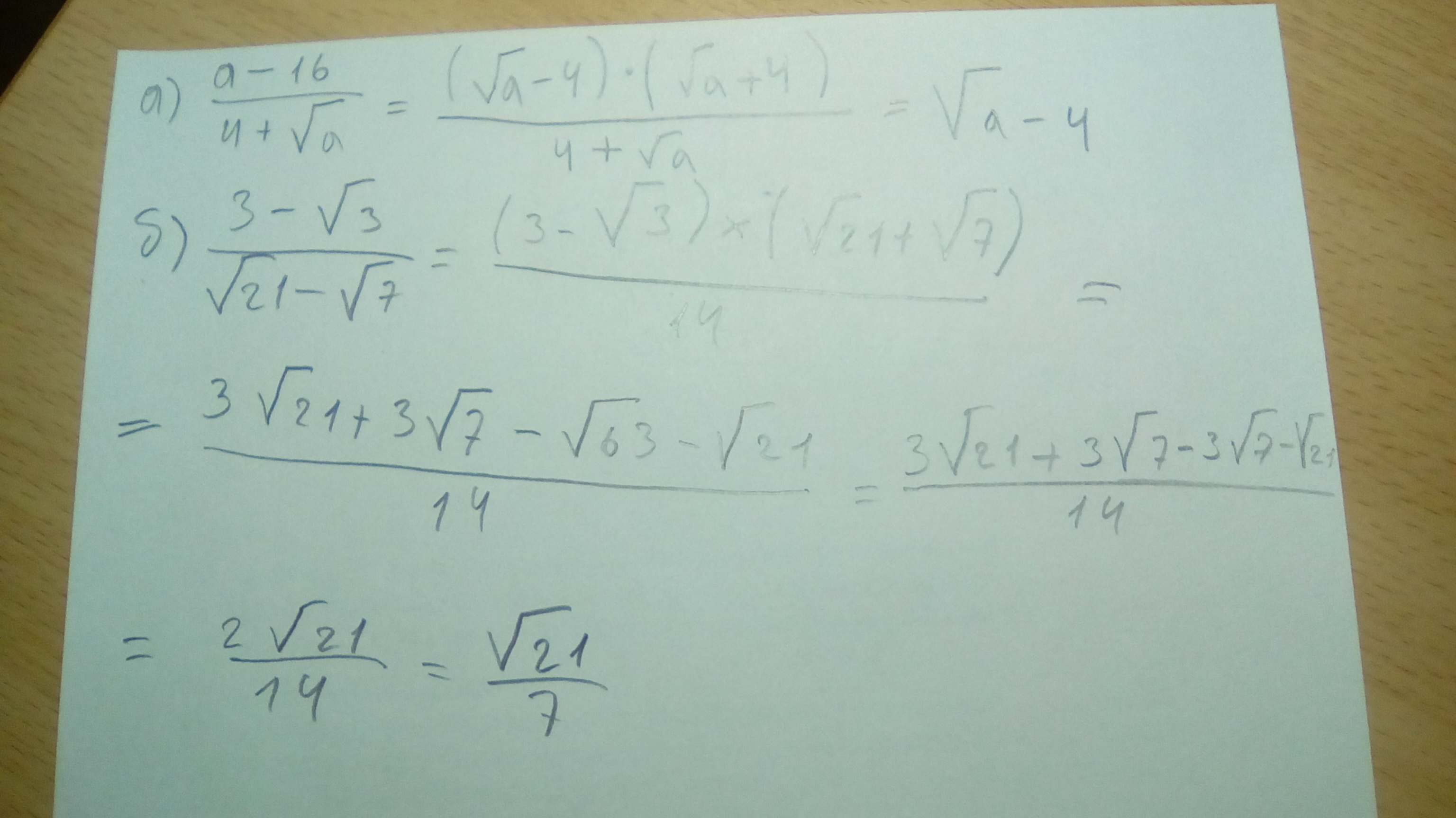
a) Va - 4
б) V21/7 
V - это тип закорючка перед а
а / - это дробь
Ответ дал: andreyvlasov22
0
щас, погоди минуты 3
Ответ дал: andreyvlasov22
0
p.s Fauling это я
Ответ дал: бабочкирулят
0
я поняла
Ответ дал: andreyvlasov22
0
нормально?
Ответ дал: бабочкирулят
0
да
Ответ дал: Fauling
0
Вот, с полным решением
Приложения:
Вас заинтересует