• Предмет: Математика
  • Автор: sarraf
  • Вопрос задан 9 лет назад

помогите пожалуйста!!!!
умоляю!!!
буду благодарен

Приложения:

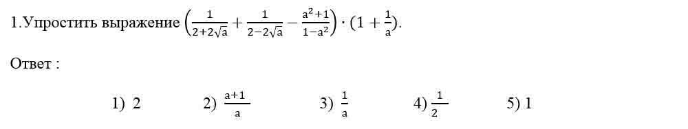
Ответы

Ответ дал: nika23461
0
Ответ:
5) 1 да
4) 1/2 нет
3) 1/а нет
2) а+1/а нет
1) 2 нет
Ответ дал: sarraf
0
спасибо
Вас заинтересует