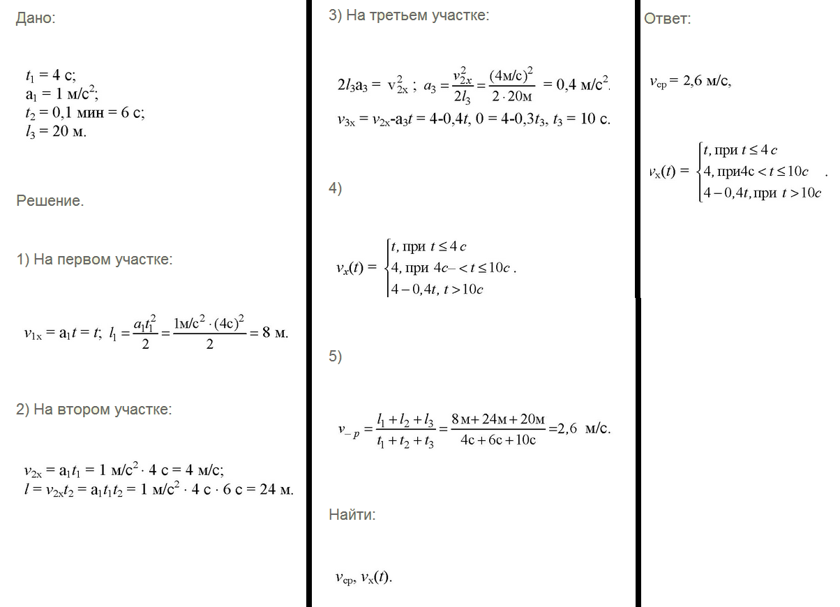
Велосипедист начал свое движение из состояния покоя и в течение первых 4 с двигался с ускорением 1 м/с2; затем в течение 0,1 мин он двигался равномерно и последние 20 м — равнозамедленно до остановки. Найти среднюю скорость за все время движения.
Ответы
Ответ дал:
0
ну както так, надеюсь я тебе помог (сделал покрупнее)
Приложения:

Вас заинтересует
2 года назад
8 лет назад
10 лет назад