Ответы
Ответ дал:
0
Вот )) это очень легко . Разберись и поймёшь . Желаю удачи)))))
Приложения:

Ответ дал:
0
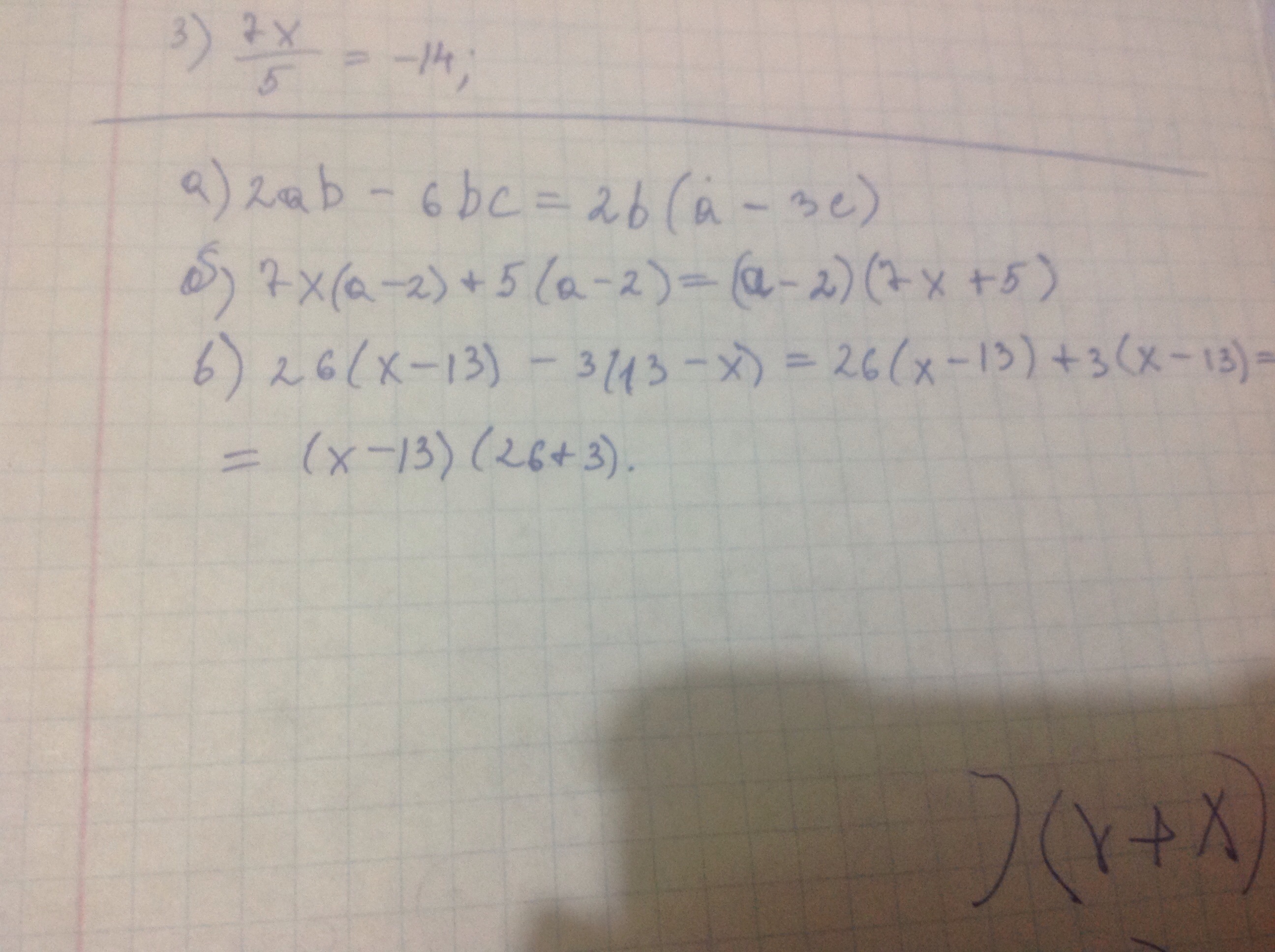
а) 2b×(a-3c)
б) (7+5)×(а-2)
12(а-2)
в) 26(х-13) - 3×(-(х-13))
26(х-13) + 3(х-13)
(26+3) × (х-13)
29(х-13)
б) (7+5)×(а-2)
12(а-2)
в) 26(х-13) - 3×(-(х-13))
26(х-13) + 3(х-13)
(26+3) × (х-13)
29(х-13)
Приложения:

Вас заинтересует
2 года назад
2 года назад
3 года назад
3 года назад
9 лет назад
9 лет назад
10 лет назад