Ответы
Ответ дал:
0
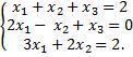
Первая система.
Из второго уравнения получаем, что:
x3 = x2 - 2x1
Подставляем в первое уравнение:
x1 + x2 + x2 - 2x1 = 2
-x1+2x2=2
x1=2-2x2
Подставляем в третье уравнение:
6-6x2+2x2=2
-4x2=-4
x2=1
x1=0
x3=1
Из второго уравнения получаем, что:
x3 = x2 - 2x1
Подставляем в первое уравнение:
x1 + x2 + x2 - 2x1 = 2
-x1+2x2=2
x1=2-2x2
Подставляем в третье уравнение:
6-6x2+2x2=2
-4x2=-4
x2=1
x1=0
x3=1
Вас заинтересует
2 года назад
2 года назад
3 года назад
3 года назад
9 лет назад
9 лет назад