Ответы
Ответ дал:
0
все тут просто вроде)
Приложения:
Ответ дал:
0
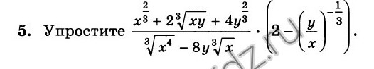
Пусть ∛x=t ∛y=v ⇒
Числитель: t²+2tv+(2v)².
Знаменатель: t⁴-(2v)³t=t*(t³-(2v)³)=t*(t-2v)*(t²+2tv+(2v)²) ⇒
(t²+2tv+(2v)²)/(t*(t-2v)*(t²+2tv+(2v)²)=1/(t*(t-2v)).
Выражение в скобках: 2-(v/t)⁻¹=2-t/v=(2v-t)/v=-(t-2v)/v. ⇒
(1/(t*(t-v))*(-(t-2v)/v)=-(t-2v)/(tv*(t*2v)=-1/(t*v)=-1/∛(xy).
Ответ: -1/∛(xy).
Числитель: t²+2tv+(2v)².
Знаменатель: t⁴-(2v)³t=t*(t³-(2v)³)=t*(t-2v)*(t²+2tv+(2v)²) ⇒
(t²+2tv+(2v)²)/(t*(t-2v)*(t²+2tv+(2v)²)=1/(t*(t-2v)).
Выражение в скобках: 2-(v/t)⁻¹=2-t/v=(2v-t)/v=-(t-2v)/v. ⇒
(1/(t*(t-v))*(-(t-2v)/v)=-(t-2v)/(tv*(t*2v)=-1/(t*v)=-1/∛(xy).
Ответ: -1/∛(xy).
Приложения:
Вас заинтересует
2 года назад
2 года назад
3 года назад
3 года назад
9 лет назад
9 лет назад
10 лет назад